我2019年复习了6个月,通过了注册电气工程师基础(供配电)考试,成绩是79+80。下面给大家分享一下我的复习方法。

0 前言
网上的大神特别多,不少人说注册电气工程师基础复习2个月、1个月甚至有的说考试前两周看一下书就能考过的,关于这一点我持谨慎态度,也希望大家注意不要被误导了。
对每一门考试,我们战略上可以藐视,战术上绝对不能轻视。我在考这门考试之前,已经连续考下了一级建造师、注册消防工程师和PMP三本证书,但是准备注册电气工程师基础考试时,仍然留了半年的时间复习,就足以说明我对这个考试的重视了。
为什么别人说得那么轻松,我却这么重视?
其实原因也很简单:因为注电基础考试,考的内容基本都是大学时候电气专业学的知识。
那些说很容易的,很可能是大学学的比较好,或者毕业没多久,或者是电气类研究生毕业,对这些科目的知识点非常了解,复习起来轻车熟路,自然轻松。
而我自己,本科时候学的并不是很扎实,并且工作6年了,那些知识早就还给老师了。加上长时间没怎么看书,复习的时候各种杂事缠身,很难高效专注复习。所以我不敢拿自己跟那些人电气“大神”比,我想要一次通关,就只能笨鸟先飞,花很多时间进去。
说上面这些,是为了提醒大家:如果决定备考注电基础,要先认清自己的形势,合理制定计划,避免被带到坑里去。
下面开始介绍我的具体复习方法。
1 备考准备
备考注册电气工程师基础,必须先买复习资料,公认的教材就是天津大学的这本:
一般买书都会送视频和题库,对于自学的同学来说,这些资料基本够用了。
2 复习安排
2.1 复习科目取舍
因为注电基础考试包含很多个科目,必须有所取舍。
具体做法,就是书到了之后,先大概浏览一下各科难度,自己评估一下自己对各个科目的掌握程度和兴趣,挑两三科又难又讨厌的,排除掉——好钢必须要用在刀刃上。
拿我作为例子,我大学专业是自动化,我对化学基本停留在高中及格线的水平,所以把化学第一个排除掉了。此外,对于材料力学和流体力学,因为公式太多,我也将其作为复习次重点。
我当时专门列了一个清单如下,右边是科目分数情况,我算过分数,确保自己排除一些之后,仍然有把握考及格。

2.2 复习顺序
确定了取舍之后,就可以开始复习了,那么从哪一科开始,复习顺序怎么样比较好呢?
我的做法是:公共基础先复习数学,再物理,然后电气,三大力学,其他。专业基础按顺序学。
这样做的好处是:数学、物理和电气是重中之重,必须攻克,并且不能丢太多分,才有可能保证总分及格。其次因为数学和物理学好了,对后面学习三大力学有一定的帮助。电气学好了,对后面学习专业基础有好处。
信息、法规、经济相对比较简单,放在最后学,我的原则是这几科该拿的风绝对要拿到。
2.3 复习耗时
我一共复习了6个月,其中学公共基础大概用了3个月,专业基础大概用了2个月,最后一个月疯狂做题和背笔记知识点。
其中公共基础中,数学我将近学了一个月,物理大半个月,因为大学的数学本身就学的不太好,加上年久失修,我几乎是从零开始学习数学……这也多亏我提前半年开始学习。
虽然我花的时间比较长,但是我觉得我的这个复习节奏应该很适合大部分备考的同学,所以建议大家也可以参考我的复习安排来规划自己的。
3 复习方法
下面介绍一下我的复习方法,我总体分三轮复习。
3.1 第一轮复习
第一轮我主要以打基础为主,不追求记住全部知识点,其实对大部分人来说,几乎都会出现看了后面忘了前面的问题。
所以我第一轮,就只求搞懂,不求记住。
我的具体做法是跟着视频看书,视频前有预习,视频后配合做习题巩固记忆和加深对知识点的理解。
3.2 第二轮复习
看完第一轮之后,我对知识点基本都有了一定理解,这时开展第二轮复习,目的是梳理和记忆。
梳理,就是翻开书看,把书中的重要知识点全部抄出来到笔记本上。记忆,就是在这个总结提炼、书写知识点和重点的过程中,加深以及对知识的记忆。我发现这个做法特别有效,我梳理完所有知识点之后,瞬间有一种考试能及格的踏实的感觉。
这是我抄下来的笔记本样子,这个笔记本,我公共基础和专业基础各抄了20来页。


3.3 第三轮复习
最后一轮复习就简单了,就是拿起我第二轮复习梳理的笔记本,先看一遍笔记,然后刷题,一直循环到考试前。
每看一遍和做一遍题目,我都会进一步加深理解和巩固记忆。如果做到不会的,不懂的,又感觉比较重要的知识点,我会继续补充到自己的笔记中。
在这个阶段,我心中基本已经有一种胜券在握的感觉。
4 复习技巧
我在复习注册电气工程师基础的过程中,有利用之前考证时总结出来的复习技巧,给大家分享一下:
一是编口诀来简化记忆。比如我的物理笔记里面,对于三种速率的大小比较,几乎年年必考,但是很容易混淆,我就取每种速率第一个字出来,编成口诀“最平方”,就是从小到大的速率,记起来就不会混淆了。

二是前后知识点对比。比如上图右下角的能量转换,我对此了功和内能的公式,总结出了它们的相同点和不同点,这样就不会记乱了,这也是每年必考的点,记住就等于白拿分了。
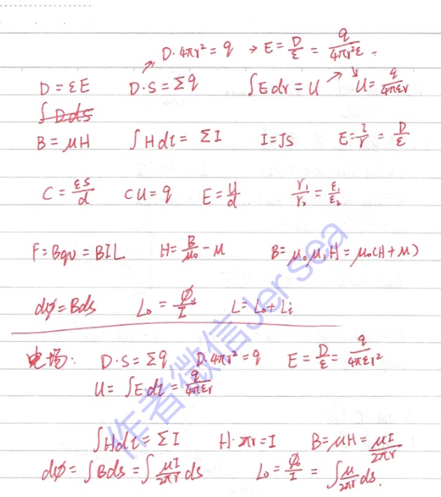
三是梳理和总结公式。注电考试,公式非常多,很容易记乱,为了解决这个问题,我在整理笔记过程中,把重要公式都梳理出来,摆在一起对比,公式之间的关系一目了然,比如下面这个图,就是我把电场和磁场的公式摆在一起总结,帮助我成功记清楚了这两类场的计算方法。

四是不要纠结个别难题或学太深。这门考试并不是考得非常深,做了一些题目之后,你应该就能感受到考试深度。对于个别的难题,不要浪费时间去纠结,也不要把每一个细小的知识点都学透,没必要。钻牛角尖很容易捡了芝麻丢了西瓜。如果你不知道考试重点难点在哪,可以看看一些机构给出来的统计,针对重点集中火力复习,做到有的放矢。
五是学习过程做一下笔记。可以参考我的笔记,来做一套笔记,这样可以帮你理顺知识脉络,同时也可以帮助你后面更加高效地背知识点。我是直到考试前最后半小时,还在翻看我的这本笔记本的,可以说受益匪浅。
5 总结
以上就是我的注册电气工程师基础复习方法,说得不对的地方欢迎大家指正,如果有什么疑问也可以评论区讨论,如果觉得对你有点帮助,恳请赏个赞,谢谢!
最后,祝大家一次通关注册电气工程师考试!
版权声明:本文内容由互联网用户自发贡献,该文观点仅代表作者本人。本站仅提供信息存储空间服务,不拥有所有权,不承担相关法律责任。如发现本站有涉嫌抄袭侵权/违法违规的内容, 请发送邮件至 举报,一经查实,本站将立刻删除。
