我们在用word写资料时,比如论文、数据分析、报告等,经常需要插入一些公式,这些公式会含有一些特殊符号,比如根号、分式、求和等,这些特殊符号是不能直接用输入法来完成的,需要借助于word扩展的功能来帮助我们实现,这几乎是写论文时必备的技能。
以下面这两个比较复杂的方程式为例,在office 2013版本,我们来看看如何写出这些方程式:
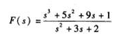
第一个:

择插入—公式—插入新公式,word界面插入公式编译器,开始编写我们需要的方程:


选择插入新公式后,先填入F(s)=这部分,再从上方任务栏中选择分数,选择最常用的上下结构就可以,再填分子表达式,选择上下标,找到需要的指数表达方式,一步一步填入后,再填入分母表达式。
编写公式时,一定要学会分数、上下角标、根式这些特殊符号的使用,编译公式时,选中标题栏的设计,可以看到有很多复杂的符号我们可能会用到,在上方任务栏里用到时直接调用功能就可以,分各个部分慢慢完成公式。

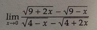
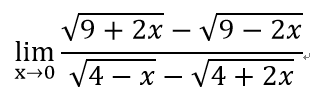
第二个:

这个公式比较复杂了,是一个求极限值的式子,我们来试一下:
选择插入—公式—插入新公式,word界面插入公式编译器,开始编写我们需要的方程:

插入公式后,先在上方任务栏中选择极限和对数,选择常用的公式,再一步一步填写表达式,编写完成,只要我们能够掌握这些特殊符号的运用,将它们组合起来,可以写出各种复杂的式子。
版权声明:本文内容由互联网用户自发贡献,该文观点仅代表作者本人。本站仅提供信息存储空间服务,不拥有所有权,不承担相关法律责任。如发现本站有涉嫌抄袭侵权/违法违规的内容, 请发送邮件至 举报,一经查实,本站将立刻删除。
