十九、计算平均绝对离差(AVEDEV函数):
各变量与总体平均值之差叫离差,离差的绝对值的平均值就是平均绝对离差。其计算公式如下:




其中:为参数变量,为参数均值,为参数个数。
语法是:“=AVEDEV(number1, [number2], …)”。
参数:number1, number2, … number1是要计算离差的一组数字或者包含数字的名称、数组或引用的参数。
例:计算表中参数的平均绝对离差。
在C2单元格插入函数:“=AVEDEV(A2:B6)”,按【Enter】键确认。

计算平均绝对离差
二十、计算离差的平方和(DEVSQ函数):
DEVSQ函数用于计算各变量与总体平均值之差(离差)的平方和。其计算公式如下:



其中:为参数变量,为参数均值。
语法是:“=DEVSQ(number1, [number2], …)”。
参数number1, [number2], …是用于计算离差平方和的 1 到 255 个参数。 如果参数包含文本、逻辑值或空白单元格,则将被忽略;但包含零值的单元格将计算在内。
例:计算表中参数的离差的平方和。
在C2单元格插入函数:“=DEVSQ(A2:B7)”,按【Enter】键确认。

计算离差的平方和
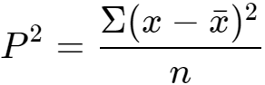
二十一、计算总体方差:
方差是每个样本值与全体样本值的平均数之差的平方和的平均数。
方差是与中心偏离的程度,用来衡量一批数据的波动大小。 在样本容量相同的情况下,方差越大,说明数据的波动越大、越不稳定。
总体方差是将整个总体当作参数来计算方差。其公式如下:





其中:为总体方差,为变量,为总体均值,为总体例数。
1、VAR.P函数:
VAR.P函数用于计算基于整个总体的方差(忽略逻辑值和文本)。
语法是:“=VAR.P(number1,[number2],…)”。
参数number1,number2,…是对应于总体的数值参数。
2、VARPA 函数:
VARPA 函数用于计算基于整个总体的方差(包括逻辑值和文本)。TRUE 看作 1, 文本或 FALSE看作 0。
语法是:“=VARPA(value1, [value2], ...)”。
参数value1, [value2], …是对应于总体的所有参数。
例:已知某物品的总体样本参数,分别用VAR.P函数和VARPA函数计算其总体方差。
1)在C2单元格插入函数:“=VAR.P(A2:B7)”,按【Enter】键确认;
2)在C4单元格插入函数:“=VARPA(A2:B7)”,按【Enter】键确认。

计算总体方差
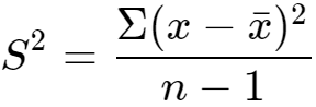
二十二、计算样本方差:
在实际工作中,总体均数通常难以得到,一般应用样本代替总体参数来计算方差,即样本方差。其计算公式如下:





其中:为样本方差,为变量,为样本均值,为样本例数。
1、VAR.S函数:
VAR.S函数用于计算给定样本的方差(忽略逻辑值和文本)。
语法是:“=VAR.S(number1,[number2],…)”。
参数number1,number2,…是对应于样本的数值参数。
2、VARA 函数:
VARPA 函数用于计算给定样本的方差(包括逻辑值和文本)。TRUE 看作 1, 文本或 FALSE看作 0。
语法是:“=VARA(value1, [value2], …)”。
参数value1, [value2], …是对应于样本的所有参数。
例:将上例中的已知参数看作是一个给定样本而不是总体,分别用VAR.S函数和VARA函数计算其样本方差。
1)在C6单元格插入函数:“=VAR.S(A2:B7)”,按【Enter】键确认;
2)在C8单元格插入函数:“=VARA(A2:B7)”,按【Enter】键确认。

计算样本方差
二十三、计算总体标准偏差:
标准偏差是方差的算术平方根。
标准偏差也是用来测算与中心偏离程度的,但其计算单位和变量的相同,比方差清楚,因此分析的时候更多使用的是标准偏差。
总体标准偏差是将整个总体当作参数来计算标准偏差。其公式如下:





其中:为总体标准偏差,为变量,为总体均值,为总体例数。
1、STDEV.P函数:
STDEV.P函数用于计算基于整个总体的标准偏差(忽略逻辑值和文本)。
语法是:“=STDEV.P(number1,[number2],…)”。
参数number1,number2,…是对应于总体的数值参数。
2、STDEVPA函数:
STDEVPA函数用于计算基于整个总体的标准偏差(包括逻辑值和文本)。TRUE 看作 1, 文本或 FALSE看作 0。
语法是:“=STDEVPA(value1, [value2], …)”。
参数value1, [value2], …是对应于总体的所有参数。
例:已知某物品的总体样本参数,分别用STDEV.P函数和STDEVPA函数计算其总体标准偏差。
1)在C2单元格插入函数:“=STDEV.P(A2:B7)”,按【Enter】键确认;
2)在C4单元格插入函数:“=STDEVPA(A2:B7)”,按【Enter】键确认。

计算总体标准偏差
二十四、计算样本标准偏差:
样本标准偏差是将给定样本当作参数来计算标准偏差。其公式如下:





其中:为样本标准偏差,为变量,为样本均值,为样本例数。
1、STDEV.S函数:
STDEV.S函数用于计算给定样本的标准偏差(忽略逻辑值和文本)。
语法是:“=STDEV.S(number1,[number2],…)”。
参数number1,number2,…是对应于样本的数值参数。
2、STDEVA函数:
STDEVA函数用于计算给定样本的标准偏差(包括逻辑值和文本)。TRUE 看作 1, 文本或 FALSE看作 0。
语法是:“=STDEVA(value1, [value2], …)”。
参数value1, [value2], …是对应于样本的所有参数。
例:将上例中的已知参数看作是一个给定样本而不是总体,分别用STDEV.S函数和STDEVA函数计算其样本标准偏差。
1)在C6单元格插入函数:“=STDEV.S(A2:B7)”,按【Enter】键确认;
2)在C8单元格插入函数:“=STDEVA(A2:B7)”,按【Enter】键确认。

计算样本标准偏差
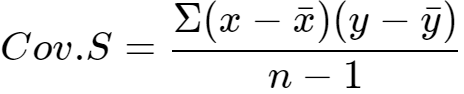
二十五、计算协方差:
协方差是两组数据离差乘积的平均值,方差是协方差的特殊情况,即当两组数据相同时的协方差。
协方差用于衡量两个变量的总体误差。如果两个变量的变化趋势一致,那么两个变量之间的协方差就是正值。 如果两个变量的变化趋势相反,那么两个变量之间的协方差就是负值。
1、COVARIANCE.P函数:
COVARIANCE.P函数用于计算两组数据的总体协方差。其公式如下 :

语法是:“=COVARIANCE.P(array1,array2)”。
参数array1,array2是要计算协方差的两组元素个数相同参数。
2、COVARIANCE.S 函数:
COVARIANCE.S函数用于计算两组数据的样本协方差。其公式如下 :

语法是:“=COVARIANCE.S(array1,array2)”。
参数array1,array2是要计算协方差的两组元素个数相同参数。
例:计算表中两组参数的总体协方差和样本协方差。
1)在C2单元格插入函数:“=COVARIANCE.P(A2:A6,B2:B6)”,按【Enter】键确认;
2)在C4单元格插入函数:“=COVARIANCE.S(A2:A6,B2:B6)”,按【Enter】键确认。

计算协方差
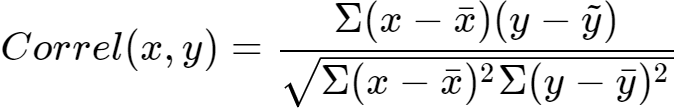
二十六、计算两组数据之间的相关系数(CORREL函数):
CORREL函数用于计算两组数据的相关系数。
使用相关系数可以确定两个属性之间的关系。相关系数表示数组之间的正 (+1) 或负 (-1) 相关性。 接近 0 的相关系数表示无相关性或弱相关性。其计算公式如下:

语法是:“=CORREL(array1, array2)”。
参数:array1,array2是要计算相关系数的两组数据。
例:计算成绩表中总成绩与上课天数之间的相关系数。
在G2单元格插入函数:“=CORREL(E2:E8,F2:F8)”,按【Enter】键确认。

计算两组数据之间的相关系数
版权声明:本文内容由互联网用户自发贡献,该文观点仅代表作者本人。本站仅提供信息存储空间服务,不拥有所有权,不承担相关法律责任。如发现本站有涉嫌抄袭侵权/违法违规的内容, 请发送邮件至 举报,一经查实,本站将立刻删除。
