一、计算参数的算术平均值:
1、AVERAGE函数:
AVERAGE函数用于计算数值参数的算术平均值。
语法:“=AVERAGE(number1,number2,…)”。
参数number1,number2,…是要计算其平均值的1到255个数字参数。
2、AVERAGEA函数:
AVERAGEA函数用于计算所有参数的算术平均值。
语法是:“=AVERAGEA(value1,value2,…)”。
参数value1,value2,…是要计算平均值的1到255个数值、名称、数组、引用等。
其中字符串和FALSE相当于0,TRUE相当于1。
例:计算表中参数的平均值。
1)在C2单元格插入函数:“=AVERAGE(A2:B7)”,按【Enter】键确认;
2)在C4单元格插入函数:“=AVERAGEA(A2:B7)”,按【Enter】键确认。

计算参数的算术平均值
二、计算满足条件的参数的平均值(AVERAGEIF函数):
AVERAGEIF函数用于计算某个区域内满足给定条件的所有单元格的算术平均值。
语法是:“AVERAGEIF(range,criteria,average_range)”。
参数range是要计算平均值的一个或多个单元格,其中包括数字或包含数字的名称、数组或引用。
criteria是数字、表达式、单元格引用或文本形式的条件,用于定义要对哪些单元格计算平均值。
average_range是要计算平均值的实际单元格;如果忽略,则使用range。
例:计算表中大于100的所有参数的平均值。
在C2单元格插入函数:“=AVERAGEIF(A2:B7,”>100″)”,按【Enter】键确认。

计算满足条件的参数的平均值
三、计算满足多重条件的参数的平均值(AVERAGEIFS函数):
AVERAGEIFS函数用于计算满足多重条件的所有行动的算术平均值。
语法是:“=AVERAGEIFS(average_range,criteria_range1,criteria1,criteria_range2,criteria2…)”。
参数average_range是要计算平均值的一个或多个单元格,其中包括数字或包含数字的名称、数组或引用。
criteria_range1,criteria_range2,…是计算关联条件的区域。
criteria1,criteria2,…是数字、表达式、单元格引用或文本形式的条件。
例:计算2班80分以上的所有男生的平均成绩。
在D2单元格插入函数:“=AVERAGEIFS(B2:B8,B2:B8,”>80″,C2:C8,”男”)”,按【Enter】键确认。

计算满足多重条件的参数的平均值
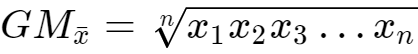
四、计算参数的几何平均值(GEOMEAN函数):
GEOMEAN函数用于计算一组正数的几何平均值。
几何平均值是对各参数的连乘积开项数次方根。
主要用于已知总水平、总成果等于所有阶段或环节的水平、成果的连乘积时,求各阶段或环节的一般水平、一般成果。其公式如下:

语法是:“=GEOMEAN(number1, [number2], …)”。
参数number1, number2, …是用于计算平均值的 1 到255 个正数。
例:已知某厂每年的产量增长率,计算该厂5年来的平均产量增长率。
在E2单元格插入函数:“=GEOMEAN(D2:D6)”,按【Enter】键确认。

计算参数的几何平均值
五、计算参数的调和平均值(HARMEAN函数):
HARMEAN函数用于计算一组正数的调和平均值。
调和平均值是参数的倒数的算术平均值的倒数。
主要是用于在无法掌握总体单位数(频数),只有每组的变量值和相应的标志总量,而需要求平均数的情况。其公式如下 :

语法是:“HARMEAN(number1, [number2], …)”。
参数number1, number2, …number1 是用于计算平均值的 1 到255 个正数。
例:根据4X100米接力赛中各选手的速度,计算平均速度。
在C2单元格插入函数:“=HARMEAN(B2:B5)”,按【Enter】键确认。

计算参数的调和平均值
六、计算参数的中值(MEDIAN函数):
MEDIAN函数用于计算一组参数的中值。
中值是一组数的上下限之间的算术平均数。
语法是:“=MEDIAN(number1, [number2], …)”。
参数:number1, number2, …是要计算中值的 1 到 255 个数字。
例:计算表中两组数的中值。
1)在C2单元格插入函数:“=MEDIAN(A2:A6)”,按【Enter】键确认;
2)在C4单元格插入函数:“=MEDIAN(B2:B7)”,按【Enter】键确认。

计算参数的中值
七、计算参数的众数:
众数是一组数中出现次数最多的数。
1、MODE.SNGL函数:
MODE.SNGL函数用于计算水平数组中参数的众数。
语法是:“=MODE.SNGL(number1,[number2],…)”。
参数number1,[number2],…要计算其众数的 1 到 254 个参数。
如果有多个结果时,以数组形式返回结果。
2、MODE.MULT函数:
MODE.MULT函数用于计算垂直数组中参数的众数。
语法是:“MODE.MULT(number1,[number2],…)”。
其他同MODE.SNGL函数。
例:计算表中第4行和第C列参数的众数。
1)在G2单元格插入函数:“=MODE.SNGL(A4:F4)”,按【Enter】键确认;
2)选择G4:G5单元格区域,插入函数:“=MODE.MULT(C1:C7)”,按【Ctrl】+【Shift】+【Enter】键确认。

计算参数的众数
版权声明:本文内容由互联网用户自发贡献,该文观点仅代表作者本人。本站仅提供信息存储空间服务,不拥有所有权,不承担相关法律责任。如发现本站有涉嫌抄袭侵权/违法违规的内容, 请发送邮件至 举报,一经查实,本站将立刻删除。
