学而时习之,不亦乐乎!
公式常用而熟记,乃是学习的不二法门。

现把概率论有关的公式罗列至此,以方便用到的时候查询。
1 随机事件及其概率
a. 吸收律

b. 反演律

2 概率的定义极其计算

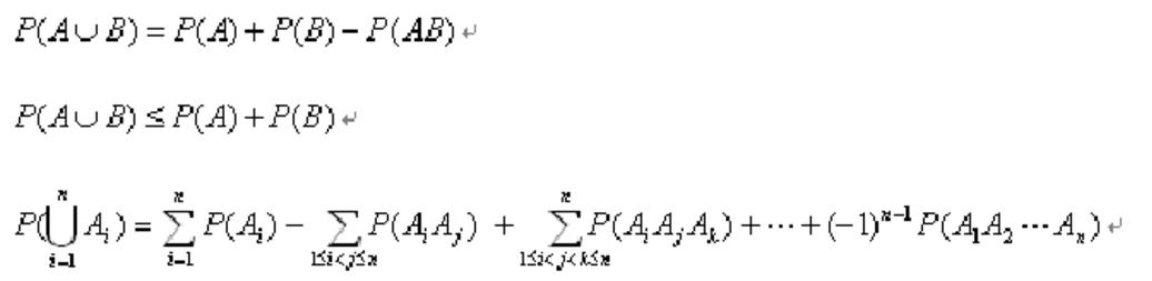
3加法公式:对任意两个事件A,B,有:

4 随机变量及其分布
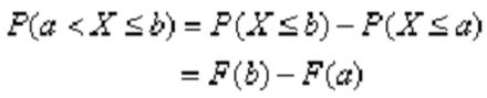
分布函数计算

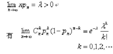
5 离散型随机变量

泊松(Possion)定理

泊松分布:

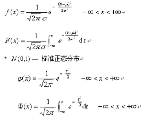
6 连续型随机变量
(1)均匀分布U(a,b)

(2)指数分布

(3)正态分布

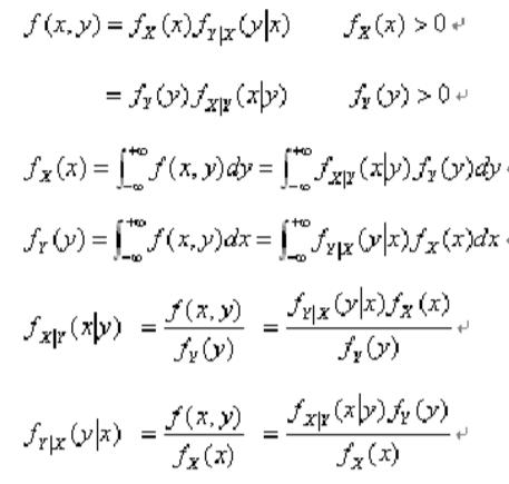
7 多维随机变量及其分布

8 连续性二维随机变量

9 二维随机变量的条件分布:

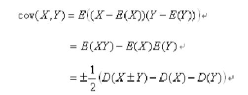
10 X,Y的二阶混合中心矩
X,Y的协方差

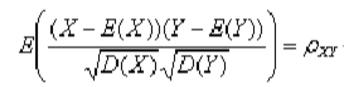
X,Y的相关系数

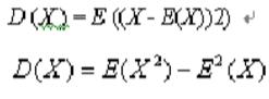
X的方差

X的协方差

相关系数:


版权声明:本文内容由互联网用户自发贡献,该文观点仅代表作者本人。本站仅提供信息存储空间服务,不拥有所有权,不承担相关法律责任。如发现本站有涉嫌抄袭侵权/违法违规的内容, 请发送邮件至 举报,一经查实,本站将立刻删除。
