看到有小伙伴在问,矩阵的秩是什么,做了那么多题目,对于矩阵的秩还没系统的总结过,今天我就结合一下实际例题,来回答一下矩阵的秩是什么。
矩阵的秩
在线性代数中,一个矩阵A的列秩是A的线性独立的纵列的极大数。
这是矩阵的秩的定义,但是看上去比较难以理解,因此,我打算从多种矩阵的角度来解答这个问题。
我们知道,一般的矩阵是mxn的类型,还有一种就是方阵,方阵就是特殊的矩阵,指的是行数和列数相等的矩阵,对于这两种矩阵而言,矩阵的秩也有着很大的区别。
对于方阵(行数、列数相等)的A矩阵而言,矩阵的秩就是用R(A)来表示。
对于mxn的A矩阵而言,矩阵的秩有多种情况,最大是m和n中的较小的一个数值,我们称尽可能大的秩的矩阵为满秩,那不满足的话就被称为秩不足。
当然,这些都是定义,还是要给出实际的例子才能解释什么才是矩阵的秩。
我们一般怎么来计算矩阵的秩。
通俗的讲,就是数数,数矩阵的非零行数。
矩阵的秩其中有一个定理,这个定理需要大家进行记忆,初等变换不改变矩阵的秩,根据这个定理,我们在计算矩阵的秩的时候就用矩阵的初等行变换将矩阵变成行阶梯矩阵,而行阶梯矩阵中非零行的行数就是矩阵的秩。
图一
那么,对于矩阵的秩有一个初步的了解之后,我们再来研究相应的例题。
在研究例题之前,矩阵的秩有几个定理需要记忆一下。
1、矩阵进行初等变换后是不改变矩阵的秩的,这是我之前举例子也提到过的一点。
2、矩阵的行秩、列秩、秩都是相等的,这就意味着你只要求出其中一个,就能够知道其他的条件。
3、如果矩阵A可逆的话,矩阵A和它的逆矩阵B相乘得到的矩阵和逆矩阵B的秩相等,反过来,即为R(AB)=R(B)。
4、假设存在两个矩阵M和N,由于矩阵相乘得到的新矩阵的行和列都是在矩阵M和N的行和列的范围内的,所以相乘得到的新矩阵的秩是小于等于矩阵M和N的最小值,即为R(AB)<=min{RA,RB}。
5、假设存在矩阵K,它的列秩等于列n,由于定理2可以得到列秩和秩都为n。
实际例题
在知道这些定理之后,我们此时做实际的例题就会感觉到简单一些。
图二
如图所示,给出一道例题,我们先审题,矩阵A是3×3的方阵,矩阵B是3×2的矩阵(3行2列)
这里让我们求方程AX=B的解。
在求该方程的解之前,我要先提一提AX=B这类方程是什么。
形如AX=B的这类方程指的是非齐次线性方程组,也就是常数项不全为零的线性方程组。
再来看这道题给的提示,系数矩阵、增广矩阵和阶梯形矩阵。
1、系数矩阵:方程组的系数组成矩阵。
2、增广矩阵:在系数矩阵的右边添上一列,是线性方程组的等号右边的值。
3、阶梯形矩阵:如果有零行(元素全为零的那行),要放在最下方,像阶梯一样排列的矩阵,正如我前文中有提到过的那类。
答案解析
那么对于这道题而言,我们就要利用以上这些概念来进行解答。
在判断方程AX=B的解的时候,我们要用的就是判断矩阵的秩。
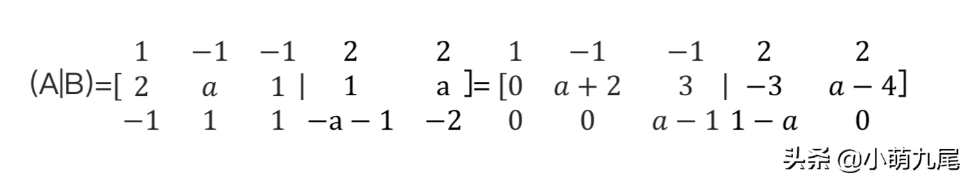
我们先将该方程化为增广矩阵,也就是(A|B)。
图三
之后,再给出矩阵的秩和求非齐次线性方程组解的关系。
也可以理解为系数矩阵的秩和增广矩阵的秩之间的关系。
图四
在得到这些概念之后,我们便可以完整的将这道题解决出来。
也就是分析系数矩阵的秩和增广矩阵的秩。
图五
这就是这道题完整的步骤过程,至于为什么AX=B这个非齐次线性方程组要这样做,就是为了将X每列的值解出来,就是按照方程组的形式解答出来即可。
最后做个总结,对于这类题目,是比较麻烦复杂的,我们要做的就是要对概念非常清晰,矩阵的秩、增广矩阵、系数矩阵、阶梯形矩阵、非齐次线性方程组,一个地方不慎重就容易做错。
还有一点,就是要清楚增广矩阵的秩和系数矩阵的秩之间的关系会影响非齐次线性方程组AX=B的解,当我们判断出各种情况之后,再进行求解,求解的时候就可以进行一一对应,将一列列的值求出来即可,慢慢来,不心急!
版权声明:本文内容由互联网用户自发贡献,该文观点仅代表作者本人。本站仅提供信息存储空间服务,不拥有所有权,不承担相关法律责任。如发现本站有涉嫌抄袭侵权/违法违规的内容, 请发送邮件至 举报,一经查实,本站将立刻删除。
